1 前言
随着地下工程的迅速发展,地下工程的空气温湿度的要求越来越高,调温除湿机的应用也越来越广泛。调温除湿机是在高湿度变室内热负荷条件下保障地下工程内部热湿环境质量的一种重要设备,其性能直接影响地下工程的维护管理水平[1]。其原理是利用蒸发器为空气降温除湿,并回收冷凝热来调节送风温度,现已广泛应用于各类地下潮湿工程中[2]。常用的调温除湿机一般采用单蒸发器和双冷凝器方案,蒸发器对空气进行降温除湿处理,风冷冷凝器对空气进行调温,水冷冷凝器把余热排出[3~6]。在实际使用过程中,除湿机存在一些不足,特别是其能耗较大,约占整个维护管理期工程能耗的70%~80%,运行使用期能耗的50%~70%[7],因此研究调温除湿机节能化非常要。
任守宇等发明了一种一机双系统新型户式新风除湿机,其特征是蒸发器前设置冷却盘管,冷却盘管与水冷冷凝器串联,对空气进行预冷,减小制冷系统的空气处理范围[8]。朱培根等针对地下建筑内的热湿负荷特点,将热管技术应用于调温除湿机[9]。袁丽等分析了冷冻除湿机用于地下防护工程存在的问题,设计了一套节能型冷冻除湿机[10]。
调温除湿机回收机组的部分冷凝热,但是仍然存在着制冷量和加热量的相互抵消问题[11]。调温除湿机的应用越来越广泛,其节能问题也变得日益重要,本文通过对调温除湿机空气处理过程中的火积分析,提出调温除湿机的节能改造措施,化除湿方案。
2 性能分析
2.1 常规调温除湿机的空气处理过程
常规调温除湿机原理如图1所示。常规调温除湿机空气处理过程如图2所示,空气从状态点1经过蒸发器冷却除湿后,变成状态点2,空气再经过室内风冷冷凝器加热,通过三通阀调节制冷剂的流量,使送风调温范围在状态点2与状态点3之间。

图1 常规调温除湿机原理示意

图2 常规调温除湿机的空气处理焓湿图
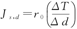
空气处理过程中,需要将空气直接冷却至露点,在热湿耦合状态下进行降温除湿,要求蒸发温度低于露点温度。
理想逆卡诺循环的制冷系数:
ε=T1/(T2-T1)
(1)
式中 T1——蒸发温度 T2——冷凝温度
由式(1)可知,提高压缩机的制冷系数,则需要提高蒸发温度。单一蒸发器只有一个蒸发温度,无法提高制冷系数。提高蒸发温度成为提高制冷系数和能效的一种思路。
2.2 理想调温除湿机的空气处理过程
理想调温除湿机的空气处理焓湿图如图3所示。

图3 理想调温除湿机的空气处理焓湿图
根据显热火积、湿火积转换原理[12~15],整个系统输入显热火积,获得湿火积,由于整个流程不存在传递损失,因此实现了显热火积向湿火积的理想可逆转换。
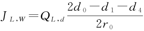
系统总的湿火积(出口-进口):
ΔJW,d=ΔJa,W+Δ![]()
(2)
式中 ΔJa,W——空气的湿火积变化 ΔJL,W——水蒸汽膜的湿火积变化 QL,d——除湿量所对应的汽化潜热 r0——水的汽化潜热 d0——参考点0的含湿量
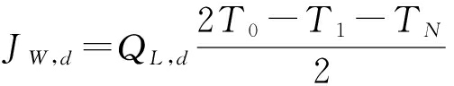
系统为获得式(2)所示的湿火积所需输入的显热火积(进口-出口):
Δ
Δ![]()
![]()
(3)
式中 TN——湿空气的进口含湿量所对应的露点温度
T1——湿空气的出口含湿量所对应的露点温火积
式(3)所示的显热火积是实现空气等温除湿过程所需的zui小显热火积,而这部分显热火积实际是制冷机输入的功转换而来的,根据功火积之间的转换关系,有:
ΔJWE-S=Q(TY-TH)+TYWE=WE(TY+TH)
(4)
![]()
(5)
式中 ΔJWE-S——功WE转换成的显热火积TY——热源的温度 TH——热汇的温度 WE——功
由式(5)结合式(3)可得系统所需输入的功为:
![]()
(6)
WE,d即为湿空气的除湿过程所需的zui小功。可见,应用湿空气热湿火积转换的原理,构建出理想的湿空气除湿过程,并在此过程中得到理论上湿空气除湿的zui小能耗,在减少能耗方面,为化方案提供了思路。
3 化方案
根据上一节理论分析,提出调温除湿机的节能改造措施,在空气进入蒸发器前,通过冷却盘管适当降低空气温度,再通过蒸发器进行除湿;另外利用风冷冷凝器的余热进行调温。该改造思路提高了通过蒸发器的能量利用率,同时提高调温除湿机的能效。化改造后的调湿除湿机系统如图4所示。

图4 节能型调温除湿机系统示意
该节能型调温除湿机的系统工作原理如下:
(1)由压缩机加压后的制冷剂通过三通阀,一部分流向室内的风冷冷凝器,一部分流向室外的水冷冷凝器,根据室内调温范围,通过三通阀调节制冷剂流量。风冷冷凝器和水冷冷凝器中的制冷剂再汇集在储液罐,经过膨胀阀流向蒸发器。zui后流向压缩机,形成一个完整的循环。
(2)水冷冷凝器中,温度在室内露点温度与室温之间的冷水进入冷却盘管对空气进行降温处理;再进入水冷冷凝器,冷水和制冷剂逆流,达到对制冷剂降温的效果。
(3)湿空气通过冷却盘管,进行预冷降温;再通过蒸发器降至露点,进行除湿;zui后进入风冷冷凝器,进行加热调温,调温范围在3~4之间,焓湿图见图5。系统出风空气的温度和湿度可以根据需求单调节,可以提高调温除況机组的适应性。

图5 节能型调温除湿机焓湿图
4 仿真模拟试验
基于分布参数方法,建立了完备的调温除湿机的系统模型,包括针对涡旋压缩机、管壳式水冷冷凝器、翅片管式风冷冷凝器、翅片管式蒸发器和管道附件等分别建立了稳态仿真模型,所建立的模型具有通用性。利用Celand方法与zui小二乘拟合相结合的显式拟合方法,建立了工质R22和空气物性的快速仿真程序。利用向前差分格式分别对各组件的偏微分方程组进行了数值离散,在保证一定的精度及运算速度的同时,避了隐式方法带来的分叉等求解隐患[16~21]。
4.1 水冷冷凝器
图6为水冷冷凝器管壁及制冷和水侧的沿程温度分布。

图6 水冷冷凝器管壁及制冷剂和水侧的沿程温度分布
从图6中可以看出,在单管长0.5 m内,制冷剂呈现过热状态,管长0.5~5 m范围内,制冷剂呈两相凝结状态,且换热与水侧相当,当单管长大于5 m时,制冷剂开始呈现过冷,此后水侧换热系数起决定性作用。对于室内温度高于18 ℃的情况下,可以使用温度在18~25 ℃范围内的冷水,在冷却盘管中对空气进行预冷。
4.2 风冷冷凝器
图7为风冷冷凝器管壁及制冷剂和风侧的沿程温度分布。从图7中可以看出,在单管长2 m内,制冷剂呈现过热状态,管长2~10 m范围内,制冷剂呈两相凝结状态,当单管长大于10 m时,制冷剂开始呈现过冷,此后风侧换热系数起决定性作用。从蒸发器出来的空气温度较低,进入风冷冷凝器进行升温,风冷冷凝器的调温范围在15~37.5 ℃。袁丽等利用除湿后的空气与新风进行换热,对空气进行预冷,达到节能的目的,但是在调温过程中,增加了冷凝器压力,使压缩机的功耗增加[10]。

图7 风冷冷凝器管壁及制冷剂和风侧的沿程温度分布
4.3 蒸发器
图8为蒸发器的两侧流体及管壁的温度分布。

图8 蒸发器的两侧流体及管壁的温度分布
从图8中可以看出,空气经过蒸发器,在预冷降温的基础上继续降温除湿,通过蒸发器的空气温度变化范围15~27 ℃。从图中也可以看出,干度较低的制冷剂进入蒸发器换热管后,逐渐受热气化,局部沸腾换热系数逐步增加,直至制冷剂干度达到80%左右,均属湿壁区,通常此区呈环状流。当制冷剂干度大于80%,则进入蒸干区,呈雾状流,管内基本无液膜,局部沸腾换热系数急剧降低,接下来制冷剂进入过热区,属于单相流动换热,其换热系数基本保持稳定。
5 模拟结果与分析
5.1 参数计算
制冷量Qe:
Qe=qma(hcomi′-hcono)
(7)
式中 Qe——制冷量 qma——输气量 hcomi′——压缩机吸气口比焓 hcono——冷凝器出口比焓
性能系数COP:
COP=Qe/Pe
(8)
式中 Pe——压缩机轴功率
除湿量W:
![]()
(9)
式中 ρa——空气密度 G——经过除湿机的风量 Δd——空气经过蒸发器后,单位质量的空气除湿量
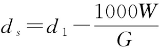
出口空气的含湿量ds:
![]()
(10)
式中 d1——蒸发器前的空气含湿量
5.2 参数模拟
在蒸发器空气进口干球温度为27 ℃,相对湿度60%,制冷剂流量0.22 kg/s,制冷剂入口焓值245000 J/kg时对不同进风风量下进风温度与相对湿度的变化进行模拟,得出对出口参数的影响曲线,如图9~16所示。从图9~12可以看出,随着进风干球温度增加,制冷量与除湿量均增加,出风口的含湿量也相应增加。随着进风量降低,制冷量增长幅度明显的降低。另外进风量较低时,COP会有所下降。

图9 不同风量下进风干球温度对制冷量的影响

图10 不同风量下进风干球温度对COP的影响

图11 不同风量下进风干球温度对出风含湿量的影响

图12 不同风量下进风干球温度对除湿量的影响

图13 不同风量下进风相对湿度对制冷量的影响

图14 不同风量下进风相对湿度对COP的影响

图15 不同风量下进风相对湿度对出风含湿量的影响

图16 不同风量下进风相对湿度对除湿量的影响
从图13~16中可以看出,当进风相对湿度增加,除湿量增加,制冷量在风量较大时,随着进风相对湿度的增加而增加,而风量较小时,则出现制冷量下降的趋势。COP也有相应的下降趋势。
从模拟试验结果可以得出,在一定的范围内,此化方案具有可行性。
6 结语
本文根据显热
、湿火积转换原理,对热湿传递过程进行了分析,发现在焓湿图中湿空气沿饱和状态线进行除湿,功耗zui小。提出了调温除湿机的节能化方案,即在调温除湿机中,在蒸发器前增加一个冷却盘管,对湿空气进行预冷降温,使湿空气沿接近饱和状态线进行除湿。通过仿真模拟,得出模型适用工况为冷水温度在18~25 ℃之间时,冷水可以通过冷却盘管对空气进行预冷降温,风冷冷凝器的调温温度范围在15~37.5 ℃之间。此化方案对湿空气进行降温再除湿,且系统出风空气的温度和湿度可以根据需求单调节,从而减少能耗,提高调温除湿机的适应性,达到节能的目的。
访问者在接受本网站服务之前,请务必仔细阅读本条款并同意本声明。访问者访问本网站的行为以及通过各类方式利用本网站的行为,都将被视作是对本声明全部内容的无异议的认可;如有异议,请立即跟本网站协商,并取得本网站的书面同意意见。请务必点击阅读《免责声明》全文
本网部分文章和信息来源于国际互联网,本网转载出于传递更多信息和学习之目的,并不意味着赞同其观点或证实其内容的真实性。如转载稿涉及版权等问题,请立即联系管理员,我们会予以更改或删除相关文章,保证您的权利。对使用本网站信息和服务所引起的后果。本网站不作任何承诺。
转载联系作者并注明出处:地下工程调温除湿机的节能优化方案>>http://cjcsj.cn/cjcsfa/55.html
